Главный угольный трейдер Украины Дмитрий Коваленко продолжает работать с Россией
То, что после 2014 года Украина продолжала, невзирая на запреты, покупать уголь у России, ни для кого не является секретом. Тема особо не педалировалась, но, тем не менее, о ключевых фигурах, зарабатывавших деньги на кровавом угле, писали.
Среди тех, кто разрабатывал схемы, позволяющие закупать и, самое главное – завозить – в Украину российский уголь, называли некоего Дмитрия Коваленко – он придумывал новые и новые пути обхода запретов и воплощал в жизнь механизм поставок угля из России и так называемых «Л/ДНР».
Работало это приблизительно следующим образом. По схеме «прерванный транзит», например, российский уголь направлялся в Эстонию, Белоруссию или Польшу, но в пути что-то «происходило» и перевозчику «приходилось» оставить груз на украинской территории. Или же уголь довозился до условной Польши, там его разворачивали по какой-либо причине (некачественный, не тот сорт и т.п.), оформляли возврат от лица «польского» покупателя, и что-то «случалось» уже на обратном пути. Были и другие схемы, но суть их сводилась к одному – как обойти запрет и завезти нелегальный уголь на территорию Украины.
В первые годы конфликта это вызывало возмущение и периодические попытки бороться, но в последние два-три года на схемы, по сути, махнули рукой – не один Дмитрий Коваленко зарабатывал подобным способом, в конце концов, в подобных схемах участвовали слишком многие и слишком известные люди. Потому государство вяло делало вид, что борется с торговлей на крови, а общество, за исключением кучки «националистов», на это вообще не реагировало.
Но 24 февраля стало водоразделом, когда многие вещи, на которые еще 23 числа закрывали глаза, стали неприемлемы. В том числи и избитое выражение «торговля на крови» превратилось из фигурального выражения в буквальное. Однако это отнюдь не остановило Дмитрия Коваленко, фирмы которого и дальше продолжали поставки российского углы в Украину по все тем же опробованным годами схемам. Благо правоохранители никак на это не реагировали.
Читайте по теме: Операторы приостанавливают связь для клиентов без верификации данных
Не помешали ему и новые санкции и запреты, введенные относительно России и торговли с ней как на уровне Украины, так и на уровне международного сообщества. Конечно, некие неудобства этот шквал санкций создал и для Коваленко, но отлаженные еще в 2014 году схемы продолжили работать.
Более того – Коваленко даже нарастил объемы, благо большинство конкурентов либо добровольно, либо принудительно перестали закупать российский уголь. Работает Коваленко через иностранные компании, которые использует для ухода от налогов и обхода запретов. Благодаря тому, что работает он таким способом с 2014 года, этих компаний у него скопилось достаточное количество, что помогло после 24 февраля нарастить объемы покупок российского угля и продажи его по всему миру. Точно как в поговорке «кому война, а кому – мать родна».
Это была теоретическая часть. А теперь перейдем к практической. В распоряжении редакции оказалась документы, которые рассказывают, как работают схемы Дмитрия Коваленко. Их изучение дает возможность понять, какие именно фирмы и в каких странах задействованы в закупках российского угля, также становятся известны некоторые имена людей, задействованных в этих процессах.
Компании Sibcoal и ANTEX INTER TRADE LTD
О компаниях Sibcoal и ANTEX INTERTRADE LTD, посредством которых поставляется уголь в Польшу, писали и ранее. Но вот новые сведения. Это – инвойс за 16 июля 2022 года между польской Sibcoal и белорусской «Экойл Кемикл» на поставку российского угля из шахты «Беловская».

Это не единственная закупка. Ниже приводим выдержку из договора между Sibcoal и ANTEX INTERTRADE LTD (которая является также структурой Коваленко). Это так называемые «внутренние прогонки», но вопрос, откуда приехал этот уголь и куда он дальше поехал, остается открытым.

Обратите внимание на суммы – речь идет о миллионах долларов.
Российский уголь Дмитрий Коваленко поставляет не только в Польшу. Среди получателей – Чехия:
Читайте по теме: Канал «ВЧК-ОГПУ» заблокирован в Telegram

Обратите внимание на дату – 27 февраля. На четвертый день СВО российский уголь фирма Дмитрия Коваленко ANTEX INTERTRADE LTD везет в Чехию.
Правда, огульно обвинять поляков в бездеятельности, пожалуй, нельзя – судя по всему, они начали расследование, потому что, согласно выписке из реестра, Коваленко сменил название структуры Sibcoal – с 18.08.2022 г. она называется Polska Grupa Importowa Premium.
Компания Adelon AG
Эта компания тоже продолжила сотрудничать российскими и белорусскими компаниями после 24 февраля. Зарегистрирована она в Швейцарии, но принадлежит Дмитрию Коваленко.
Это – два инвойса от 28 июля 2022 года


Суммы незначительные, но главное не это. Главное – эти документы подтверждают факт работы швейцарской компании Дмитрия Коваленко с российским углем.
А это – выдержка из договора с компанией «МелТЭК», из которой четко видно, что в период СВО компания Adelon AG также, как и Azurit (о ней – ниже), напрямую закупает уголь у российской компании.

Дмитрий Коваленко не брезгует и дальше работает и зарабатывает вместе с русскими.
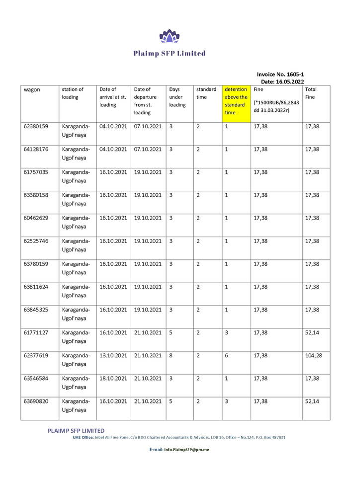
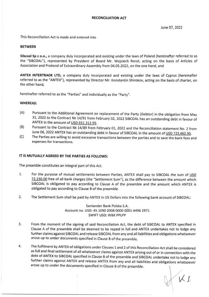
Компания Plaimp SFP Limited
Мы не нашли фактов торговли данной компании с российскими угольными производителями, однако данную структуру Коваленко использует для переуступки долгов.

Также обращает на себя внимание счет Plaimp SFP Limited, выставленный на HAMPTON RESOURCES LIMITED – компанию, входящую в орбиту казахской компании ТОО EximArtis.

Сейчас эта информация проверяется, но, судя по всему, можно смело утверждать, что Коваленко будет выстраивать новые схемы через Казахстан.
Совместный проект Дмитрия Коваленко и Александра Курпетко – компания Azurit DWC-LLC
Дмитрий Коваленко – не единственный игрок на теневом рынке торговли российским углем. Активное участие в этом процессе принимает Александр Курпетко, который ранее работал в «Метинвест Холдинг» Ахметова, где отвечал за закупки угля. До прихода в «Метвинвест» Александр Сергеевич ведал закупками угля в компании «Донецксталь», а теперь трудится в украинском офисе компании Trafigura, где занимается все тем же – закупками угля, но уже для ДТЭК Рината Ахметова и государственного «Центрэнерго».
Компанию Azurit DWC-LLC Курпетко и Коваленко зарегистрировали на подставного румына. По факту управляют этой структурой именно они. Кстати, участники угольного рынка прекрасно знают, кто на самом деле владеет всеми подставными компаниями и «секретом» это является только для правоохранителей.
Вот лицензия компании, где указано, что румын Chemal Giumali – собственник и руководитель компании:

Примечательно, что все учредительные документы они заверяли в Москве и в консульстве России в Дубае.
А вот – приложение к договору:

И – счет:

Эти документы (они не единственные) четко подтверждают: компания Azurit DWC-LLC весь 2022 год полным ходом сотрудничает с компаний «МелТЭК» и покупает у нее уголь. Хоть в качестве страны назначения и стоит Южная Корея, большой вопрос – куда это потом поехало.
Зная, что у Александра Курпетко есть возможность продать данный уголь компании Trafigura, не исключено, что Azurit DWC-LLC в дальнейшем реализует данный уголь именно в адрес Trafigura. Если это подтвердится, то у одного из крупнейших мировых трейдеров будут большие проблемы.
Тот факт, почему именно компания «МелТЭК» продает уголь Дмитрию Коваленко, обьясняется тем, что в «МелТЭК» на сегодняшний день всеми продажами руководит давний друг Коваленко – Евгений Владимирович Потапов, который долгое время работал финансовым директором «Индустриального Союза Донбаса» в Украине, а сейчас активно помогает руководить захваченными предприятиями на неподконтрольной территории «ДНР» и «ЛНР», такими, как Алчевский МК, Енакиевский МК. Кстати, контракт между «МелТЭК» и Azurit был подписан в мае, когда вовсю шло СВО.
Перечень контрагентов, на которых структуры Коваленко поставляют свою продукцию:
- Terracone, TUZ, CTL Logistics, POLCARGO-MEDYKA Sp. z o.o., Trade Trans Combi, ELEKTO-STAL, Sped Trans Polska Sp., TRANSTECH, Maciej Jaglarz, PKS International CARGO, Mineral water production, Porsche Inter Auto, TOWARZYSTWO GOSPODARCZE FLINT, Fortis, Pocta Polska, UPC Polska Sp. z o.o, ADS SYSTEM.
Сотрудники Коваленко, которые непосредственно сопровождают вышеуказанные сделки:
- Александр Шепель,
- Юрий Феофанов (+38(096) 105-86-85),
- Дмитрий Феофанов (+38(099) 778-37-26),
- Кирилл Хейко.
В распоряжении редакции, кроме документов, которые мы приводим в тексте этого небольшого расследования, имеются и другие, подтверждающие всё, что написано выше о сотрудничестве Дмитрия Коваленко с Россией. Мы готовы их предоставить любому правоохранительному органу, который, наконец, заинтересуется тем, что творится на угольном рынке Европы и Украины, куда структуры Дмитрия Коваленко поставляют российский уголь. По крайней мере, мы тешим себя такой надеждой. Потому что конфликт длится уже восемь лет. А его активная фаза – семь с лишним месяцев. Но торговля российским углем только набирает обороты. Не пора ли положить край этой деятельности?
P.S. По запросу правоохранительных органов мы предоставим все документы, которые могут помочь следствию.




































































Читайте по теме:
Комментарии:
comments powered by Disqus
01.11.2025, 00:18 • Конфликты
01.11.2025, 00:18 • Криминал
01.11.2025, 00:12 • Конфликты
01.11.2025, 00:09 • Открытия
31.10.2025, 23:57 • Криминал
31.10.2025, 23:54 • Дайджест
31.10.2025, 23:42 • Конфликты
31.10.2025, 23:33 • Конфликты
31.10.2025, 23:27 • Конфликты
31.10.2025, 23:15 • Дайджест
31.10.2025, 22:45 • Криминал
31.10.2025, 22:45 • Конфликты
31.10.2025, 22:30 • Конфликты
31.10.2025, 22:12 • Конфликты
31.10.2025, 22:00 • Открытия
31.10.2025, 21:42 • Конфликты
31.10.2025, 21:39 • Конфликты
31.10.2025, 21:15 • Новости
31.10.2025, 21:15 • Конфликты
31.10.2025, 21:12 • Открытия