«Кровавый уголь»: как угольный трейдер Украины Дмитрий Коваленко обогащается, сотрудничая с Россией
Дмитрий Вячеславович Коваленко – один из самых известных украинских угольных трейдеров, которого разоблачили в многократных незаконных сделках по экспорту угля на территорию Украины и Европы из РФ, ЛНР и ДНР.
И все это происходит в обход санкций, запретов и ограничений. Как такое вообще возможно в условиях полномасштабного конфликта?
О том, что вопреки запретам, даже после 2014-го года, Украиной закупался уголь в России, известно уже давно. И об этом даже писали многие средства массовой информации. А что касается тех, кто зарабатывал бабло на таком «кровавом угле», то здесь постоянно звучала фамилия некоего Дмитрия Коваленко. Этот персонаж неоднократно находил способы, чтобы обходить запреты, реализуя механизм поставки российского и ДНР/ЛНРовского угля. Что известно об этих схематозах, которые проворачивает этот одиозный мошенник в ходе полномасштабного конфликта в Украине?
«Прерванный транзит»: как работают мошеннические схемы Дмитрия Коваленко
Функционировал схематоз примерно следующим способом. Сначала уголь из РФ шел по направлению к Белоруссии, Эстонии, Польше, но по пути следования «внезапно случалось» что-то непредвиденное. В итоге перевозчик «был вынужден» оставлять груз на территории Украины. 
Читайте по теме: Операторы приостанавливают связь для клиентов без верификации данных
Также схема работала и по другой «легенде». Груз условно довозили до Польши, но на границе его «разворачивали». В качестве причины указывали «плохое качество», или «не тот сорт», или что-то еще в таком духе. После этого оформлялся возврат, но уже от лица покупателя «из Польши», после чего опять-таки что-то непредвиденное «происходило» на обратном пути.
Кроме вышеупомянутых, были и другие рабочие схемы, главная цель которых – обход всех запретов и санкций, а главное – ввоз нелегального угля на украинскую территорию.
Отметим, сначала, в первые годы после начала конфликта в 2014-м году, такая ситуация вызывала возмущение и даже попытки борьбы. А вот за последние несколько лет на такие схематозы, по сути, «забили». В результате, зарабатывал на «кровавом угле» не только Д.Коваленко, но и ряд других известных персон, а государство «вяло» боролось с данным видом торговли.
Только вот, начиная с 24 февраля прошлого года, произошел глобальный ментальный перелом, который разделил жизнь всех украинцев на «до» и «после». Именно в ту ночь поменялось понимание всего происходящего вокруг. Именно тогда изменилось восприятие людей. Такие банальные образные фразы, как «торговля на крови», «кровавый уголь», «торговля на костях», теперь приобрели абсолютно реальное значение… И это, действительно, ужасно…
А как же санкции, честь, патриотизм, уважение к родине, в конце концов?
Казалось бы, где та грань, которую человек не может перешагнуть ради выгоды? Как оказалось, такой грани для Дмитрия Коваленко не существует. Даже после начала полномасштабного конфликта его фирмы так и продолжают поставлять русский уголь в Украину по схематозам, которые были наработаны годами. Не стали препятствием для Коваленко ни введенные санкции против РФ, ни запрет торговли с Россией на уровне Украины и международного сообщества.
Дальше – больше. Как писали СМИ, украинский угольный трейдер Дмитрий Коваленко даже сумел увеличить объёмы из-за того, что многие конкуренты перестали закупать уголь из РФ. Этот кадр работает через заграничные компании. Бизнесмен использует такие иностранные фирмы для того, чтобы обойти санкционные запреты и уйти от законного налогообложения. А с учетом того, что этот предприимчивый бизнесмен работает по такой схеме уже девять лет, то он уже успел нарастить масштабные объемы покупок угля из РФ для дальнейшей его продажи многим странам.
Но, как говорится, это все только слова или теория. Далее стоит подтвердить все документально, не так ли?
Какие имеются документы, подтверждающие схематозы Коваленко?
Если сначала кому-то могло показаться, что все вышесказанное обыкновенный черный пиар против добросовестного бизнесмена, то такое мнение ошибочное. На самом деле, доказательства схем, которыми руководит Д.Коваленко, имеются в огромных количествах. Они откроют глаза многим на то, какие конкретно компании и в каких странах задействованы в мошеннических схемах, связанных с закупками российского угля.
Читайте по теме: Канал «ВЧК-ОГПУ» заблокирован в Telegram
Далее – подробнее.
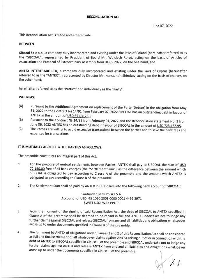
1. «SIBCOAL» и «ANTEX INTER TRADE LTD»
Об этих двух компаниях, через которые уголь идет в Польшу, уже неоднократно писали СМИ.
Только вот имеется и свежая информация. Так, в частности, речь идет о сделке между компаниями «SIBCOAL» (Польша) и«Экойл Кемикл» (Белорусь) от 16.07.22 о поставке угля из российской шахты «Беловская».
Сумма сделки – почти 79 тысяч долларов.

Ясное дело, что это далеко не единственная закупка.
Вот, к примеру, еще одна выдержка из сделки компаний «SIBCOAL» и «ANTEX INTER TRADE LTD». Отметим, последняя фирма входит в структуру Д.Коваленко. Речь идет о так именуемых «внутренних прогонах». Только вот есть важный нюанс: вопрос, откуда все-таки ехал данный уголь, а так же куда он дальше отправился, еще открыт.
Как видите, в данной сделке речь идет о суммах, которые превышают миллион баксов (651,3 и 723,5 тысячи долларов соответственно).
Дальше – интереснее.
Оказывается, уголь из РФ Коваленко отправляет не только на территорию Польши. Также в число получателей входит и Чехия.
В частности, в данном договоре речь идет о сумме свыше 82,34 тысячи долларов. Здесь стоит также обратить внимание на дату сделки – 27.02.2022. Думаем, не стоит никому напоминать, что за три дня до этого началось СВО. Многочисленные взрывы, жертвы, ужас, слезы… И вот, спустя четыре дня после начала «специальной военной операции» компания Д.Коваленко «ANTEX INTER TRADE LTD» отправляет русский уголь в Чехию. Всё еще думаете, что это шутка? Документы не врут.
Хотя, поляки, судя по всему, таки стали разбираться, что и как, поскольку, в выписке из реестра за 18 августа прошлого года с подачи Дмитрия Вячеславовича поменялось название компании с «SIBCOAL» на «POLSKA GRUPA IMPORTOWA PREMIUM».
2. «ADELON AG»
Данная фирма также не прекратила свое сотрудничество с российскими и белорусскими компаниями после начала СВО 24-го февраля прошлого года. Эта контора зарегистрирована в Швейцарии, но ее реальным владельцем является всё тот же Д.Коваленко. Здесь имеется сразу две сделки за 28.07.22.
Первый договор почти на 10 тысяч баксов, а второй – почти на 60 тысяч долларов.
Хотя и не так уж важно, о каких суммах идет речь. Ключевой факт заключается в том, что швейцарские фирмы украинского угольного трейдера Д.Коваленко работают с углем из России. Хотя сейчас уже ничего не удивляет.
А вот и важный момент из сделки с фирмой «МелТЭК». Здесь четко прописано, что после 24.02.22 компании «ADELON AG» и «AZURIT» напрямую покупают уголь у компании из РФ.
Даже комментировать не будем. Выдержки из официальных документов перед вами, а выводы делайте сами. Но факт налицо: товарищу Коваленко банально пофиг на то, что происходит на его родине. Для него главное – прибыль, и не важно, что он обогащается вместе с россиянами.
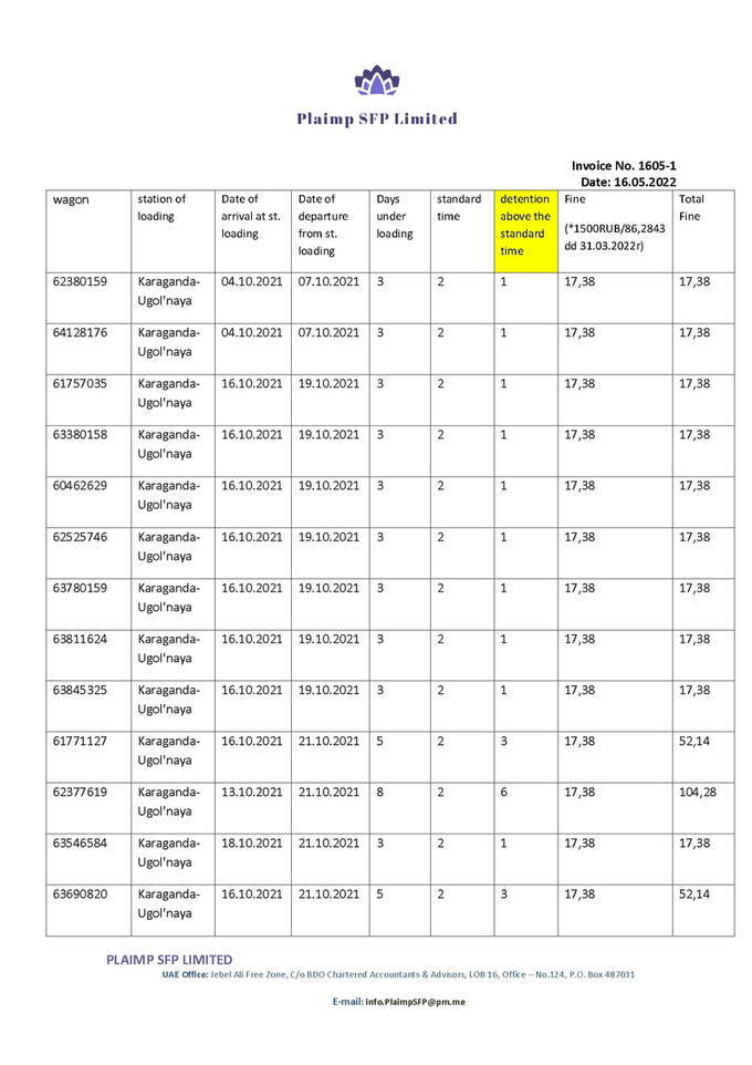
3. «PLAIMP SFP LIMITED»
Что касается данной компании, то прямых сделок с поставщиками угля из РФ, не наблюдается. Но в тоже время эту контору Дмитрий Вячеславович юзает для переуступки долгов.
Кроме этого стоит обратить внимание на счет этой фирмы, который был выставлен компании «HAMPTON RESOURCES LIMITED», входящей в структуру казахской «ТОО EximArtis».
И пусть этот счет всего лишь на неполных 900 баксов, но, судя по всему, данный факт свидетельствует о том, что товарищ Коваленко собирается строить свои схематозы и через Казахстан.
Это далеко не полный список. Продолжать перечислять компании, сотрудничество с которыми в очередной раз подтверждает связи Дмитрия Коваленко с Россией, можно еще очень-очень долго. Вам мало? Хотите еще? Намного больше документов, подтверждающих сотрудничество украинского угольного трейдера Дмитрия Коваленко с РФ ниже.
Продолжение следует.





































































Читайте по теме:
Комментарии:
comments powered by Disqus
01.11.2025, 00:18 • Конфликты
01.11.2025, 00:18 • Криминал
01.11.2025, 00:12 • Конфликты
01.11.2025, 00:09 • Открытия
31.10.2025, 23:57 • Криминал
31.10.2025, 23:54 • Дайджест
31.10.2025, 23:42 • Конфликты
31.10.2025, 23:33 • Конфликты
31.10.2025, 23:27 • Конфликты
31.10.2025, 23:15 • Дайджест
31.10.2025, 22:45 • Криминал
31.10.2025, 22:45 • Конфликты
31.10.2025, 22:30 • Конфликты
31.10.2025, 22:12 • Конфликты
31.10.2025, 22:00 • Открытия
31.10.2025, 21:42 • Конфликты
31.10.2025, 21:39 • Конфликты
31.10.2025, 21:15 • Новости
31.10.2025, 21:15 • Конфликты
31.10.2025, 21:12 • Открытия